| 索 引 号: | 000809723/2024-00900 | 主题分类: | 电子政务 | 发布机构: | 涞源县自然资源和规划局 |
| 发文日期: | 2021-12-29 | 文 号: | 有 效 期: | 有 效 | |
| 名 称: | 涞源县自然资源和规划局(林业局)关于拨付2021年国家级公益林(个人)资金公示 | ||||
| 涞源县自然资源和规划局(林业局)关于拨付2021年国家级公益林(个人)资金公示 | ||||
| 发布机构:涞源县自然资源和规划局 发布日期:2021-12-29 | ||||
|
|
||||
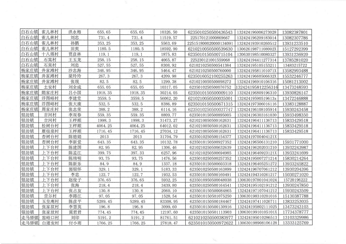
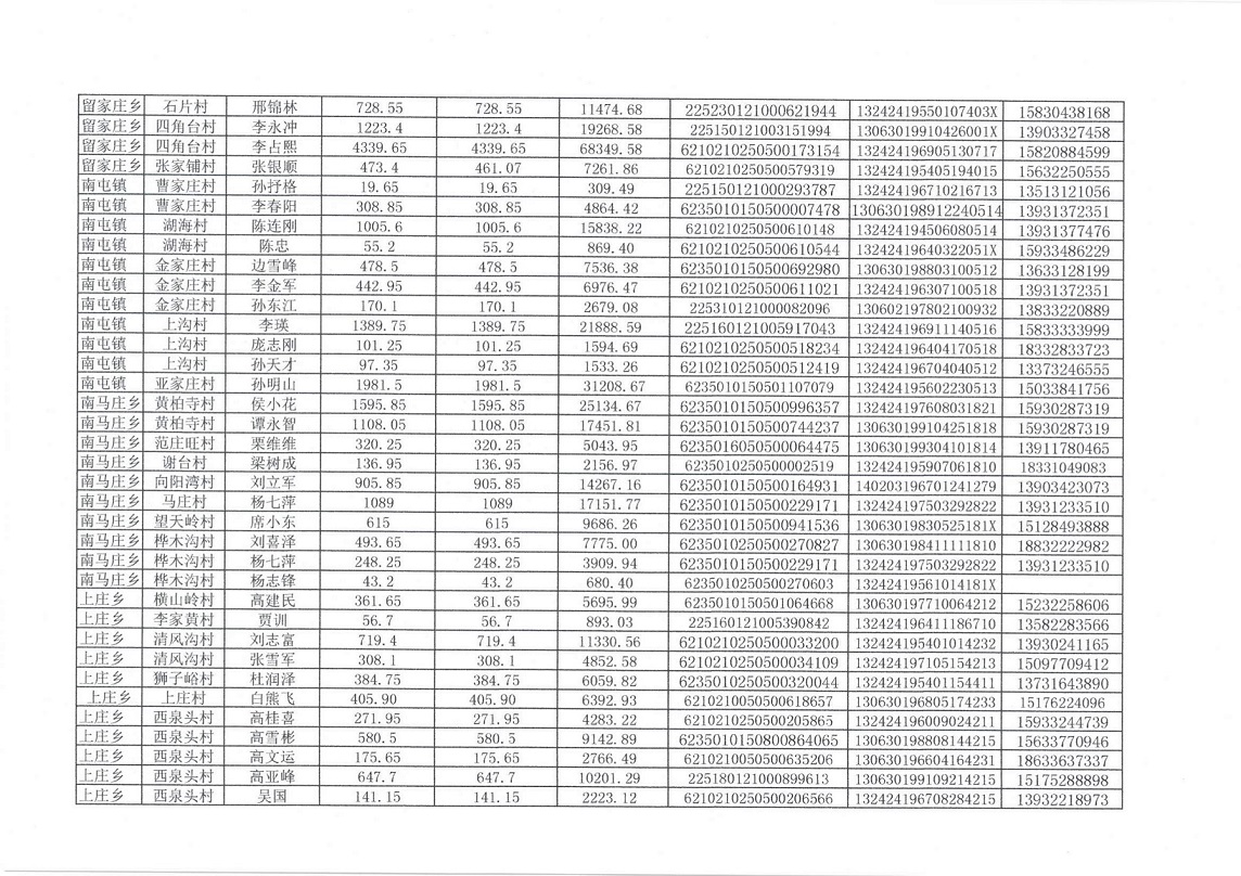
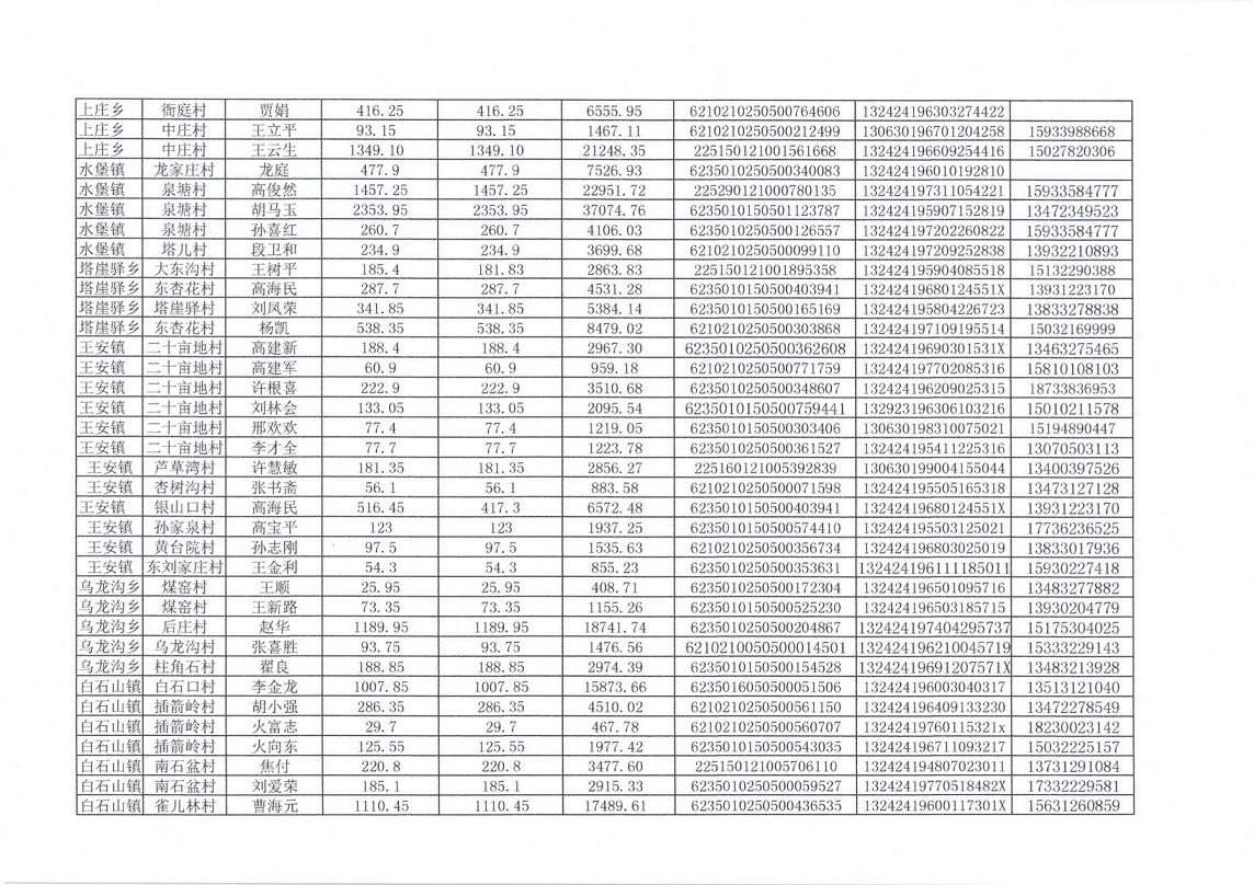
| 涞源县自然资源和规划局(林业局) 关于拨付2021年国家级公益林(个人)资金 公 示 根据惠民惠农财政补贴资金“一卡通”管理工作要求,现将2021年国家级公益林(个人)资金公示如下: 详见附表 2021年12月29日 |
||||
|
||||






